The Design – Theory and Simulation of Emptying or Draining a Tank | ANSYS Fluent
This simulation is about a Theory and Simulation of Emptying or Draining a Tank via ANSYS Fluent software. We perform this CFD project and investigate it by CFD analysis.
Tank Draining
This activity is intended to illustrate how the modeling process with differential equations is used to solve a practical problem. Beginning with physics principles like conservation of mass and energy and a few simplifying assumptions, a differential equation is derived to describe the draining of water from a container. After solving the differential equation, students can predict the time necessary to drain the container and then check this prediction with a simple experiment using readily available materials.
Overview of the Model
Consider an open cylindrical tank of height ho that is filled with water or some other freely flowing liquid. The cross sectional area is a constant value of A and a small circular hole near the bottom has a much smaller area a.
When the water is allowed to flow from the hole, the tank will eventually drain until the water level reaches the hole. Our goal is to predict how long this draining process will take. We will try to measure the draining time, which we will define as the elapsed time from when the water is allowed to flow out until the water level reaches the top of the hole. Before outlining the derivation below, make a prediction about what parameters impact the draining time. Make a list on paper of every variable upon which the draining time will depend. Examine your list. Did you include parameters like air pressure, the density of the fluid, or the shape of the small hole? Did you include A, a, and h0? If so, what would an increase in these parameters do to the draining time? As the water drains, will the flow rate remain constant? Now that you have written down your predictions, let’s derive a model for this process. When the model is derived, return to your list to check it.Model Derivation
As with many modeling problems leading to differential equations, it is helpful to begin with a generic balance equation:
While this principle can be applied to many different quantities for a defined system, we can immediately apply it to the mass of the water in the tank. This equation can be called a rate equation because each of the terms refer to a rate (rate of flow in, rate of destruction, rate of accumulation, etc.) Can you see which of the terms in this generic equation can be crossed off?
From physics, we recall that mass – just like energy and momentum – is a conserved quantity under normal circumstances. This means that it cannot be generated or destroyed. Furthermore, we note that water only flows out of, not into, the tank during the draining process. This leaves us with:
We also recognize that the density of water (mass per unit volume) is constant. Thus, since it is easier in our experiment to describe changes in volume and the rate of flow of volume, we can instead write:
We can now incorporate both of the areas in the diagram above. First, we recognize that the rate of volume flow out of the tank is equal to the velocity of the water through the small hole multiplied by the area a. Second, we take note of the relationship between the volume, the height, and the cross sectional area of the cylindrical tank. The rate of accumulation or depletion of volume is equal to the rate of change in height multiplied by the cross sectional area. Our balance equation now becomes:
Observe that the units of this equation are still a rate of change of volume (length cubed per time). It is helpful that we now have the time rate of change of height in our equation. We can and will estimate both of the areas. Yet, we do not yet have an idea of the velocity of the water coming out of the small hole. Our derivation so far relied on the principle of conservation of mass. To find the velocity out, we will employ the principle of conservation of energy. For this system, the principle of conservation of energy leads us to Bernoulli’s Equation, which is an important relationship between pressure, velocity, and height of a flowing fluid:
Here, P is the pressure, ρ is the density, and V is the velocity of the fluid. The gravitational constant g and the height h of the fluid, relative to some reference point, also appear. The units of each term in this equation are pressure, which is force per unit area. However, it is also helpful to realize that this is also energy per volume. Can you see this if we note that energy is force times distance and volume is area times another distance? Bernoulli’s equation shows us how energy, though conserved overall, can be transferred in different categories. A fluid may have energy due to its pressure, due to its velocity (kinetic energy), and due to its height (potential energy). All three of these ways of having energy are included in this equation on a per volume basis. Now, considering two points in the system, we can use this relationship to specify the velocity of water flowing out of the small hole.
Point 1 is at the very top of the water in the tank. Point 2 is on the water as it leaves the small hole. Bernoulli’s equation is applied to these two points:
Since both points are open to the atmosphere, they are at almost exactly the same pressure. The small difference in height does not produce a very different air pressure. For this reason, P1 and P2 can be crossed off together. Since the density of water does not change at all, it can be cancelled from all of the remaining terms. Rearranging gives the following:
Further simplification is possible if we neglect
. This is defensible because V2 is much larger than V1 since the cross sectional area of the tank A is – in most cases – significantly larger than the area of the small hole. The square of V1 must therefore be smaller, relatively speaking, than the square of V2. Water will be moving much more quickly out of the small hole than the movement of the top surface of the water. We can replace the different in heights between two points with h, which is the height of water above the small hole at any point in time. This can now be written as:
It is evident that as the tank drains, the velocity of the water draining out will decrease toward zero since the height of the water is decreasing toward zero. When we conduct the experiment, we expect that the fastest stream of water will be seen at the very beginning. Having solved for the velocity at Point 2, which is the “velocity out” in the simplified balance equation above, we can now put everything together:
Since A, a, and g are all constant in our model of the cylindrical tank, we can lump all the constants together as k and write:
It is instructive to check the units of this differential equation, which are length per time since it gives us the rate of change of height. Note that the units of the constant k are
. We have now derived a differential equation for the height of the fluid in the tank by using principles from physics and some appropriate simplifications. Separation and integration leads us to a solution for water height as a function of time:
Here we specify the constant of integration in terms of the initial height at t=0.
Rearrangement gives the solution of our differential equation:
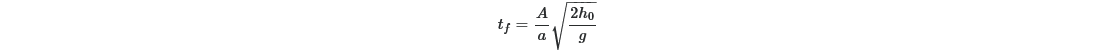
From here, we can determine the time necessary for the tank to drain, because this is when h=0.
If we substitute for the constant k, we find that the final time is

Note that, according to our assumptions in this model, no other factors will impact the draining time: not the air pressure, the density of the fluid, or the shape of the drain hole. In fact, the drain hole and the cross section of the tank could be circular, square, or any other shape. We only require that the area of the cross section of the tank remain constant. For instance, this model would correctly predict the time to drain a cube shaped container. One other interesting aspect of the mathematics here is evident when one studies the solution to the differential equation, which is parabolic in form. Notice that if the time exceeds the calculated draining time, the solution predicts that the height of the water would again increase. This is an aphysical (not real) prediction, because once the tank drains completely the height of the fluid will stay at exactly zero. Examine the differential equation and note that h=0 is a stable (equilibrium) solution.
When the water level in the tank reaches the minimum or the maximum (as specified in the properties) during an extended period simulation (EPS), a built-in altitude valve will close the adjacent pipe. An empty tank will close the downstream pipe, since it cannot drain any more and a full tank will close the upstream pipe, since it can’t fill any more. Once the opposite conditions occur in the system, the pipe(s) will automatically open back up.
This can present a problem in some systems, because for example, as soon as the pipe closes for an empty tank, it may instantly be able to fill again from another pipe, triggering the pipe to reopen. As soon as the pipe reopens, it drains to empty, closing the pipe again. This can cause excessive intermediate timesteps and rapid oscillations in the system. So, it is suggested that you configure your controls (typically pump controls) such that the tanks never become full or empty.
This analysis has tried to simulate and analyze the modeling of a Theory and Simulation of Emptying or Draining a Tank using ANSYS Fluent software.
Geometry & Grid
The geometry required for this analysis was generated by Ansys Design Modeler software. The meshing required for this analysis was also generated by Ansys Meshing software. The mesh type used in this analysis is unstructured. The total number of volume properties for geometry is 5,1118e+006 mm³.
Model
K-epsilon (2 equation) model has been used for fluid flow inside the design modeler and the simulation considers air phenomena. So, Case will be initialized with mixed pressure are solved.
Boundary Condition
The momentum input for this geometry is considered as Moving Wall in Wall Motion, at a constant speed of rotational velocity is 225 rad/s. The momentum of the shear condition is also considered as No Slip. The motion of the design modeler is defined as Relative to Adjacent Cell Zone for the circular outer domain boundary condition.
Discretization of Equations
According to the type of flow, the SIMPLE algorithm is used to discretize the Pressure-Velocity Coupling of the solution method. The momentum equation has been discretized in the Second Order Upwind.
The Design Services
We also accept all CFD projects using ANSYS Fluent and ANSYS CFX. Our workshop has gathered experts in different engineering fields so as to ensure the quality of CFD simulations. One of our objectives is to boost the use of powerful computational fluid dynamics methods and also teach the engineers and those who seek professional knowledge in CFD.
ِDoing CFD projects will be faster and easier with our services. Call us for training in CFD applications and CFD packages. Our professional CFD engineers offer you professional consultation and technical supports for your academic CFD projects and industrial CFD projects. We offer you CFD learning, CFD project by ANSYS Fluent and ANSYS CFX, CFD consulting by ANSYS Fluent and ANSYS CFX, CFD service by ANSYS Fluent and ANSYS CFX, ANSYS Fluent and ANSYS CFX project, ANSYS Fluent and ANSYS CFX thesis, ANSYS Fluent and ANSYS CFX simulation, ANSYS Fluent and ANSYS CFX paper regeneration, ANSYS Fluent and ANSYS CFX academic project, ANSYS Fluent and ANSYS CFX industrial project, ANSYS Fluent, and ANSYS CFX research project, and low CFD Price. Moreover, we have years of experience in coordinating CFD projects. Therefore, we are ready to perform your CFD simulations in different engineering fields.





Reviews
There are no reviews yet.